Skip to main content

PSpice-Based Reliability Analysis for Critical Systems FAQs

Here are some comprehensive answers to all the questions asked in our recent webinar.

1. How do you work with a design if the SPICE models are missing?

PSpice provides modeling applications and a model editor to quickly create models for various types of devices. Additionally, PSpice ships with over 35K models and contains a model wizard. We also work with many manufacturers to support PSpice models.

2. Can you download SPICE models from a vendor and use them, as long as you know where to place the model?

Yes, you can. You can refer to our video here, which gives you step-by-step instructions.

3. Can I import PSpice models from other tools? (LTSpace, Tina, Proterus, etc)?

Yes, you can import unencrypted SPICE models from other SPICE simulation applications.

4. Is there a presentation available on adding libraries and SPICE models from vendors?

PSpice documentation is available for current customers through our Cadence online support, that will walk you through adding subset models. Additionally, there are several videos available in our PCB Design and Analysis YouTube channel, or you can review the technical documentation on our PCB Design and Analysis Center.

5. What libraries of components are supported in the advanced analysis? For example, there are several models for a resistor, inductor, and capacitor in the PSpice standard lib, but only one model supports advanced analysis.
  • Components are usually placed from the Component Explorer. All the models which are advanced analysis-enabled are marked for use directly. If you wish to place the component using OLBs - the folder location within the installation: <installation directory>\tools\capture\library\PSpice\advanls contains all the components which are advanced analysis enabled.
  • If you have the symbol for each component with its PSpice model, you can assign SMOKE parameters which map to electrical specifications using Model Editor.
6. Does advanced analysis support IC-s like OPamps, etc.? And is it possible to collect all libraries of components that support advanced analysis in one place and clearly state the libraries group that supports the advanced analysis?
  • Any SPICE model can be simulated with PSpice Advanced analysis. You can use “Assign Tolerances” to make your model ready for sensitivity, Monte-Carlo, etc., analysis types. Similarly, you can use the PSpice Model Editor to define the Electrical stress rating and make models ready for PSpice Smoke analysis.
  • For ICs, you can open them in PSpice Model Editor and select from the menu: Model > Add Smoke to add smoke parameters. Also, in any model definition, you can define tolerances of its spice parameters, which are read by Advanced analysis. For Optimizer and Parametric plotter, you don’t need any updates or changes in SPICE models.
7. We have the symbol for each component, but how do we convert it to a PSpice model?
  • PSpice simulator will read the model definition on the component, and if present, it will support simulation.
  • There are various ways to add a model to a schematic component. You can use a GUI-based method with the Associate PSpice Model on the symbol. Or you can modify PSpice properties on the symbol and add the model in your simulation profile.
8. We have designed the symbol for a diode in design entry HDL, and now we want the PSpice model for the same component, how do we do this? And then, how can we map/link it?
  • One can use PSpice Model Editor to create a new PSpice model for a diode or associate an existing diode model with a newly created symbol for DE-HDL. This can be done using the Associate PSpice Model command.
  • You can open the capture symbol library in Capture and associate it with the symbol editor.
9. Can Smoke results be exported and saved in a format like PDF to use in documentation for a design?
  • One can use the Toolbar menu File --> Print and then use the virtual printer utility or the printer driver, e.g.
  • Additionally, using “Microsoft Print to PDF” to save the Smoke results will produce a PDF file.
10. Is there a mapping table that clearly states the SPICE model parameters in PSpice?

The PSpice Reference Guide provides details for each model type. It covers model parameters description, default value, unit, etc.

11. Can I adjust the prefix on the Original and Rel Sensitivity column? For example, engineering notation?

No, the column values are static and cannot be modified.

12. How do you vary component tolerances together with temperature variation from -40°C tol +100°C? For a transistor, will VBE vary with temperature?

One can use temperature sweep analysis to perform analysis at different temperatures. The PSpice simulator already has a built-in definition of the dependence of model parameters on temperature, thus, setting tolerances and running the simulation at different temperatures would generate the worst-case data for different temperatures.

13. Can we add and edit our local electronics library symbols to PSpice?

Yes, you can associate PSpice models with your capture library to support simulation in PSpice.

14. How fast is the optimized transient calculation on a modern multicores CPU? And how does this compare to other SPICE simulators?
  • PSpice simulations are generally fast and there have been lot of improvements to exploit multicore machines to run parallel simulations.
  • Speed will always depend upon the complexity of the design and the accuracy accepted. PSpice simulation performance is comparable with other SPICE simulators.
15. Can the graph timing be modified so that it appears more clearly and is not so compressed?

Yes, just double-click the X/Y axis and adjust the range in the dialog that shows up.

16. Is there a delay in the trace or the IC? Trace delay can be matched by layout. IC delay can be matched by choosing the same package gates. But unless you have a huge temp delta, or a separate Vcc, or a huge difference in loading, I do not understand how you can get one min and on max delay?

The delay is for the model parameter. These delays are part of timing models supported by digital devices.

17. Is there a training session about how to map?

Yes, we do have App notes and content on the Cadence Support site that can be found here: https://support.cadence.com.

18. Can you suggest a good reference that describes in detail various parameters in PSpice models, especially the ones that can be used with advanced analysis?

You can register at the Cadence ASK portal (https://support.cadence.com/) to access the product manuals directly based on the release version. It also provides search and GEN-AI capabilities to quickly provide answers to any query.

19. Several years ago, you gave a smoke analysis with the basic PSpice package, but you didn't include the ability to add smoke parameters for semiconductors. Do you still need advanced analysis for this?

You can add SMOKE parameters via PSpice Model Editor for MOSFETS, BJTS, OPAMPS, etc.

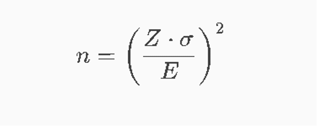
20. What is the typical value of a Monte Carlo simulation that gives the best results?

The number of samples or simulation runs required depends heavily on the target yield confidence level. The higher the number of runs, the better the confidence. To achieve a 95% confidence level with an error margin of 1%, you would need approximately 38,416 Monte Carlo simulation runs. This estimate is based on the formula:

Where: Z=1.96Z = 1.96Z=1.96 (for 95% confidence), σ=1\sigma = 1σ=1 (assumed standard deviation), E=0.01E = 0.01E=0.01 (error margin).

21. Does the infrastructure allow us to model the impact of transistor aging over time?

Currently, PSpice does not have a direct method to model aging over time. However, one can develop a custom model to model aging and simulate aging effects.